Частотные преобразования фильтров. Преобразование ФНЧ-ФНЧ и ФНЧ-ФВЧ

Содержание

Введение. Постановка задачи
В предыдущих статьях мы рассмотрели вопросы расчета аналоговых нормированных фильтров нижних частот. Был рассмотрен расчет фильтров Баттерворта, Чебышева и Кауэра (эллиптических фильтров). Однако это были лишь ФНЧ с частотой среза равной 1 рад/с. На практике требуется рассчитать различные типы фильтров: фильтры верхних частот (ФВЧ), полосовые фильтры (ПФ) и режекторные фильтры (РФ), да и ФНЧ тоже может потребоваться с различной частотой среза. В данной статье мы рассмотрим как нормированный ФНЧ можно пересчитать в любой тип фильтра с заданными характеристиками. Такой пересчет называется частотное преобразование фильтра и строится на дробно-рациональной подстановке, численный расчет которой был представлен здесь.
Пусть мы рассчитали передаточную характеристику нормированного ФНЧ при использовании выбранной аппроксимации АЧХ фильтра (Баттерворта, Чебышева или Кауэра):
(1)
Частота среза нормированного ФНЧ равна . Рассмотрим различные частотные преобразования передаточной характеристики .

Преобразование ФНЧ-ФНЧ
Первое что мы рассмотрим, это преобразование нормированного ФНЧ с передаточной характеристикой в ФНЧ, с передаточной характеристикой , но с другой частотой среза . При этом очень важно, чтобы неравномерность в полосе пропускания фильтра и уровень подавления в полосе заграждения не изменились. Для этого используют дробно-рациональную подстановку вида:
(2)
Такая подстановка эквивалентна подстановке частоты в выражения для комплексного коэффициента передачи:
(3)
где - циклическая частота нормированного ФНЧ с АЧХ . Графическое представление частотного преобразования ФНЧ-ФНЧ показано на рисунке 1.


Рисунок 1: Графическое представление частотного преобразования ФНЧ->ФНЧ

На верхнем левом графике показана АЧХ исходного нормированного ФНЧ , а на нижнем правом — АЧХ после частотного преобразования (повернутая на 90 градусов). Для того, чтобы неравномерность в полосе пропускания и уровень подавления в полосе заграждения пересчитанного фильтра были такими же, что и у исходного нормированного ФНЧ, используют проекцию (верхний правый график), а для преобразования оси частот используют проекцию (3), как это показано на нижнем левом графике. Сами проекции отмечены синими и зелеными пунктирными линиями. Пересечение проекций преобразуют частоту согласно (3). Так на рисунке 1 показано преобразование нескольких точек исходного нормированного ФНЧ в ФНЧ с заданной частотой среза .
Например рассчитаем нормированный эллиптический ФНЧ, исходя из следующих начальных данных:
частота среза ;
частота заграждения
неравномерность в полосе пропускания
подавление в полосе заграждения
Передаточная характеристика рассчитанного фильтра равна:
(4)
Пересчитаем полученную передаточную характеристику в передаточную характеристику эллиптического ФНЧ с частотой среза . Для этого в выражение (4) сделаем подстановку (2) получим:
(5)
На рисунках показаны АЧХ исходного нормированного ФНЧ и пересчитанного ФНЧ после частотного преобразования.


Для просмотра SVG графики Вам необходимо обновить браузер
Рисунок 2: АЧХ исходного нормированного ФНЧ

Для просмотра SVG графики Вам необходимо обновить браузер
Рисунок 3: АЧХ пересчитанного ФНЧ с частотой среза 10 рад/с

Расчет ФНЧ с заданной частотой среза на основе коридора АЧХ
Из рисунков 1 - 3 можно заметить, что неравномерность в полосе пропускания и уровень подавления в полосе заграждения не изменились, частота среза пересчитанного фильтра (рисунок 3) стала равна , но и переходная полоса тоже изменилась. АЧХ пересчитанного фильтра как бы «растянулась» до нужной частоты среза. При этом «растяжении» АЧХ, переходная полоса также растягивается, поэтому для расчета ФНЧ с заданной частотой среза и заданной переходной полосой необходимо рассчитывать передаточную характеристику ФНЧ по следующему правилу:
Шаг 1. Задаем частоту среза и частоту заграждения рассчитываемого фильтра
Параметры коридора АЧХ нормированного ФНЧ задаются следующим образом:
(6)
Шаг 2. Рассчитываем передаточную характеристику нормированного ФНЧ
Шаг 3. Осуществляем подстановку (2) и получаем искомую передаточную характеристику фильтра.
Например рассчитаем эллиптический ФНЧ исходя из следующих начальных данных:
частота среза ;
частота заграждения ;
неравномерность в полосе пропускания ;
подавление в полосе заграждения ;
Шаг 1. Рассчитываем коридор нормированного ФНЧ:
частота среза ;
частота заграждения ;
неравномерность в полосе пропускания ;
подавление в полосе заграждения ;
Шаг 2. Рассчитываем передаточную характеристику нормированного ФНЧ. Получаем со следующими коэффициентами:
0.18601 0.0 0.28002 0.0 0.11727 0.0 0.01

0.20871 0.56518 1.43169 1.47989 2.23783 0.91544 1.00000

Шаг 3. Осуществляем подстановку (2):
(7)
И получаем передаточную характеристику ФНЧ , рассчитанную по заданному коридору АЧХ. Коэффициенты передаточной характеристики приведены в таблицах:

186010.0 0.0 2800.2 0.0 11.727 0.0 0.01

208710.0 56518.0 14317.0 1479.9 223.78 9.1544 1.0

АЧХ исходного нормированного ФНЧ и ФНЧ после частотного преобразования показаны на рисунках 4 и 5.

Для просмотра SVG графики Вам необходимо обновить браузер
Рисунок 4: АЧХ исходного нормированного ФНЧ с пересчитанной переходной полосой

Для просмотра SVG графики Вам необходимо обновить браузер
Рисунок 5: АЧХ ФНЧ, рассчитанного по заданному коридору АЧХ
Серым отмечен заданный коридор АЧХ рассчитываемого ФНЧ. Из рисунка 5 хорошо видно, что рассчитанный ФНЧ с частотой среза полностью укладывается в заданный коридор АЧХ.

Преобразование ФНЧ-ФВЧ
В данном разделе мы рассмотрим вопрос частотного преобразования нормированного ФНЧ в фильтр верхних частот с частотой среза , при сохранении неравномерности АЧХ в полосе пропускания и уровня подавления в полосе заграждения. Для частотного преобразования ФНЧ-ФВЧ применяют следующую подстановку:
(8)
Как нетрудно заметить, подстановка (8) обратна подстановке (2), таким образом, частотное преобразование можно графически представить как это показано на рисунке 6.


Рисунок 6: Графическое представление частотного преобразования ФНЧ-ФВЧ

Как и в случае преобразования ФНЧ-ФНЧ, на верхнем левом графике показана АЧХ исходного нормированного ФНЧ , а на нижнем правом — АЧХ после частотного преобразования (повернутая на 90 градусов). Для того, чтобы неравномерность в полосе пропускания и уровень подавления в полосе заграждения пересчитанного фильтра были такими же что и у исходного нормированного ФНЧ, используют проекцию (верхний правый график), а для преобразования оси частот используют проекцию, как это показано на нижнем левом графике. Сами проекции отмечены синими и зелеными пунктирными линиями. Пересечение проекций преобразуют частотную ось. Так показано преобразование нескольких точек исходного нормированного ФНЧ в ФВЧ с заданной частотой среза .
Данное преобразование является нелинейным, так как , таким образом, нулевая частота исходного нормированного ФНЧ переносится на бесконечность, полоса нормированного ФНЧ от 0 до 1 рад/с преобразуется в полосу ФВЧ от до бесконечности, а полоса нормированного ФНЧ от 1 рад/с до бесконечности рад/с полностью размещается внутри полосы от 0 до пересчитанного ФВЧ. Таким образом ось частот как бы «выворачивается» относительно частоты 1 рад/с и переносится на .
Например преобразуем передаточную характеристику эллиптического ФНЧ (4) в ФВЧ с частотой среза . Произведем подстановку (8) и получим передаточную характеристику :
(9)
АЧХ исходного ФНЧ показана на рисунке 7 . На рисунке показана АЧХ ФВЧ с частотой среза полученного при помощи частотного преобразования (8).

Для просмотра SVG графики Вам необходимо обновить браузер
Рисунок 7: АЧХ исходного нормированного ФНЧ

Для просмотра SVG графики Вам необходимо обновить браузер
Рисунок 8: АЧХ пересчитанного ФВЧ с частотой среза

Расчет ФВЧ с заданной частотой среза по заданному коридору АЧХ
При расчете ФВЧ, также как и в случае с ФНЧ, мы можем задать коридор АЧХ, как это показано на рисунке 9


Рисунок 9: Коридор АЧХ для фильтра верхних частот

Для расчета ФВЧ по заданном коридору АЧХ необходимо исходный нормированный ФНЧ рассчитать исходя из следующих параметров:
(10)
Обратите внимание, что в отличии от ФНЧ, частота среза фильтра верхних частот всегда выше частоты заграждения (смотри рисунок 9), тогда при расчете нормированного ФНЧ согласно (10) .
Например рассчитаем эллиптический ФВЧ исходя из следующих начальных данных:
частота среза ;
частота заграждения ;
неравномерность в полосе пропускания ;
подавление в полосе заграждения .
Шаг 1. Рассчитываем коридор нормированного ФНЧ:
частота среза ;
частота заграждения ;
неравномерность в полосе пропускания ;
подавление в полосе заграждения .
Шаг 2. Рассчитываем передаточную характеристику нормированного ФНЧ. Получаем со следующими коэффициентами:
0.18601 0.0 0.28002 0.0 0.11727 0.0 0.01

0.20871 0.56518 1.43169 1.47989 2.23783 0.91544 1.00000
Шаг 3. Осуществляем подстановку (2):
(11)
И получаем передаточную характеристику ФВЧ , рассчитанную по заданному коридору АЧХ. Коэффициенты передаточной характеристики приведены в таблицах:
29860 0.0 2431.6 0.0 40.323 0.0 0.18601

2986000 227790 46404 2557.2 206.16 6.7822 0.20871

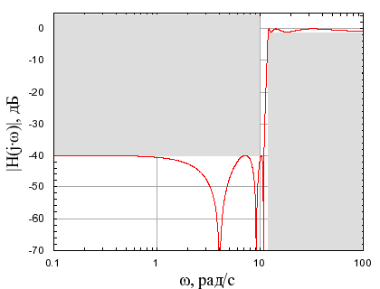
АЧХ исходного нормированного ФНЧ и ФВЧ после частотного преобразования показаны на рисунках 10 и 11.

Для просмотра SVG графики Вам необходимо обновить браузер
Рисунок 10: АЧХ исходного нормированного ФНЧ с пересчитанной переходной полосой

Для просмотра SVG графики Вам необходимо обновить браузер
Рисунок 11: АЧХ ФВЧ, рассчитанного по заданному коридору АЧХ

Как видно из рисунка 11 рассчитанный ФВЧ полностью размещается в заданном коридоре АЧХ.
Таким образом мы рассмотрели в данной статье как преобразовать нормированный ФНЧ в ФНЧ с заданной частотой среза, а также в ФВЧ с заданной частотой среза. При этом важно подчеркнуть, что пересчет ФНЧ-ФНЧ и ФНЧ-ФВЧ не изменяет количества коэффициентов передаточной характеристики фильтра. В следующей статье мы рассмотрим оставшиеся два преобразования: ФНЧ — полосовой фильтр и ФНЧ — режекторный фильтр.


Любые вопросы и пожелания вы можете оставить в гостевой книге, на форуме, или прислать по электронной почте admin@coslightnewgen.ru


Система Orphus
Любое копирование материалов сайта без разрешения автора запрещено.
Разработка и дизайн Бахурин Сергей.